Готовый ответ §26. Уравнение cos x = b - Алгебре 10 класс Мерзляк Учебник Базовый уровень Алгоритм успеха ФГОС
Номера упражнений:
§1. Наибольшее и наименьшее значения функции. Чётные и нечётные функции
§2. Построение графиков функций с помощью геометрических преобразований
§3. Обратная функция
§5. Метод интервалов
§6. Степенная функция с натуральным показателем
§7. Степенная функция с целым показателем
§8. Определение корня n-й степени. Функция у= n√x
§9. Свойства корня n-й степени
§10. Определение и свойства степени с рациональным показателем
§11. Иррациональные уравнения
§14. Радианная мера угла
§15. Тригонометрические функции числового аргумента
§16. Знаки значений тригонометрических функций. Чётность и нечётность тригонометрических функций
§18. Свойства и графики функций y = sin x и y = cos x
§19. Свойства и графики функций y = tg x и y = ctg x
§20. Основные соотношения между тригонометрическими функциями одного и того же аргумента
§21. Формулы сложения
§22. Формулы приведения
§23. Формулы двойного и половинного углов
§24. Сумма и разность синусов (косинусов)
§25. Формулы преобразования произведения тригонометрических функций в сумму
§29. Функции y = arccos x, y = arcsin x, y = arctg x и y = arcctg x
§30. Тригонометрические уравнения, сводящиеся к алгебраическим
§31. Решение тригонометрических уравнений методом разложения на множители
§33. Представление о пределе функции в точке и о непрерывности функции в точке
§34. Задачи о мгновенной скорости и касательной к графику функции
§35. Понятие производной
§36. Правила вычисления производных
§37. Уравнение касательной
§38. Признаки возрастания и убывания функции
§39. Точки экстремума функции
§40. Применение производной при нахождении наибольшего и наименьшего значений функции
Решебник
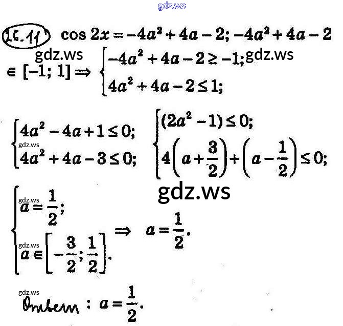
§26 / 26.11
Готовый и полный ответ к §26. Уравнение cos x = b - Алгебре 10 класс Мерзляк Учебник Базовый уровень Алгоритм успеха ФГОС