Готовые домашние задания

Готовый ответ Контрольные работы 5  - Алгебре 10 класс Потапов Дидактические материалы  МГУ - школе

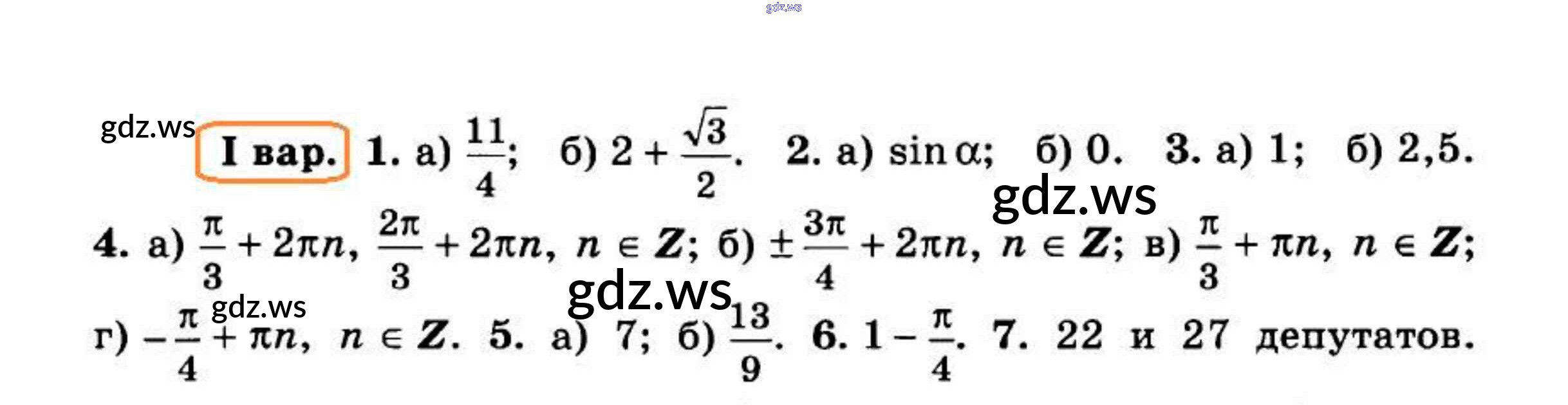
Готовый ответ Контрольные работы 5 - Алгебре 10 класс Потапов Дидактические материалы МГУ - школе

Номера упражнений:

Контрольные работы 1

Контрольные работы 2

Контрольные работы 3

Контрольные работы 4

Контрольные работы 5

Контрольные работы 6

Контрольные работы 7

Тест

Решебник

контрольная работа 5 / 1

Готовый и полный ответ к Контрольные работы 5 - Алгебре 10 класс Потапов Дидактические материалы МГУ - школе