Готовые домашние задания

Готовый ответ Контрольная работа 4  - Алгебре 10 класс Рурукин Контрольно-измерительные материалы (КИМ)   ФГОС

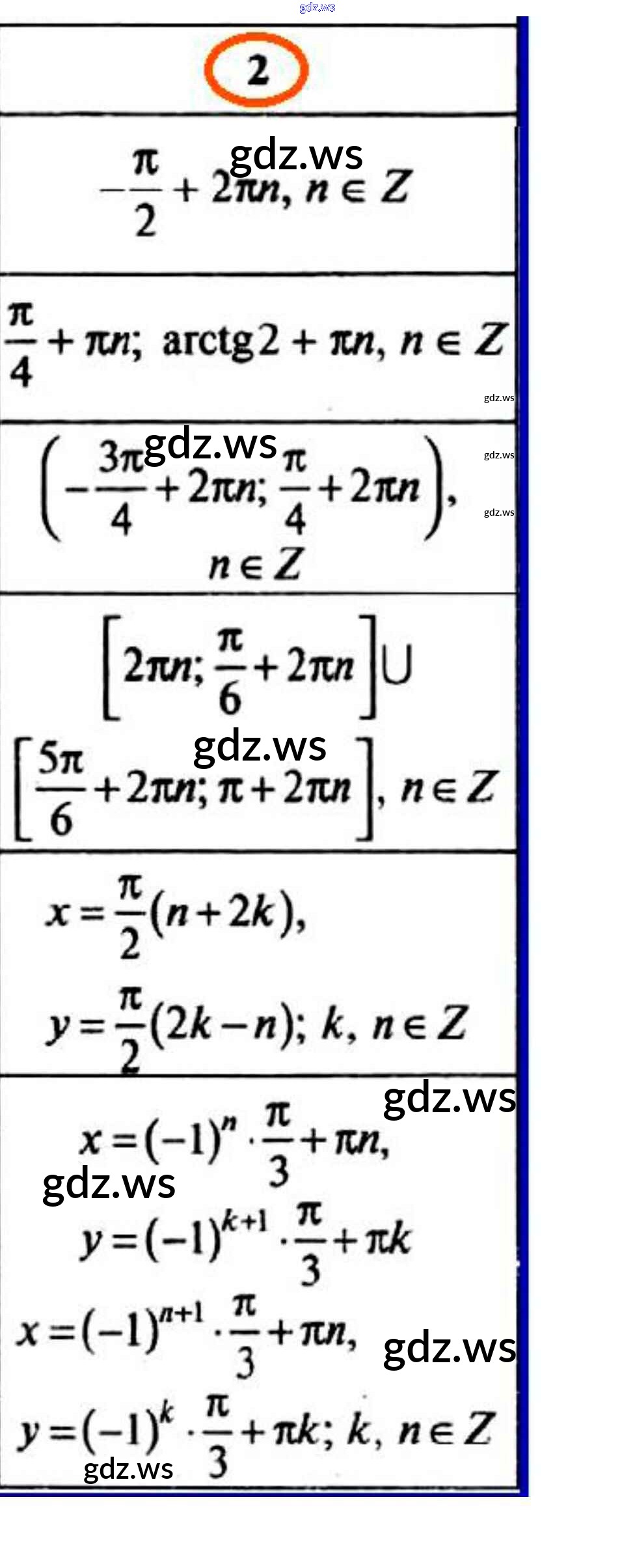
Готовый ответ Контрольная работа 4 - Алгебре 10 класс Рурукин Контрольно-измерительные материалы (КИМ) ФГОС

Номера упражнений:

Контрольная работа 1

Контрольная работа 2

Контрольная работа 3

Контрольная работа 4

Контрольная работа 5

Контрольная работа 6

Контрольная работа 7

Контрольная работа 8

Контрольная работа 9

Итоговая контрольная работа

Решебник

контрольная работа 4 / 2

Готовый и полный ответ к Контрольная работа 4 - Алгебре 10 класс Рурукин Контрольно-измерительные материалы (КИМ) ФГОС