Готовые домашние задания

Готовый ответ §19. Вынесение общего множителя за скобки Глава 4. Разложение многочленов на множители - Алгебре 7 класс Алимов Учебник   ФГОС

Готовый ответ §19. Вынесение общего множителя за скобки Глава 4. Разложение многочленов на множители - Алгебре 7 класс Алимов Учебник ФГОС

Номера упражнений:

Глава 1. Алгебраические выражения

§1. Числовые выражения

§2. Алгебраические выражения

§3. Алгебраические равенства. Формулы

§4. Свойства арифметических действий

§5. Правила раскрытия скобок

Глава 2. Уравнения с одним неизвестным

§6. Уравнение и его корни

§7. Решение уравнений с одним неизвестным, сводящихся к линейным

§8. Решение задач с помощью уравнений

Глава 3. Одночлены и многочлены

§11. Одночлен. Стандартный вид одночлена

§14. Приведение подобных членов

§15. Сложение и вычитание многочленов

§16. Умножение многочлена на одночлен

§17. Умножение многочлена на многочлен

§18. Деление одночлена и многочлена на одночлен

Глава 4. Разложение многочленов на множители

§23. Применение нескольких способов разложения многочлена на множители

Глава 5. Алгебраические дроби

§25. Приведение дробей к общему знаменателю

§26. Сложение и вычитание алгебраических дробей

§27. Умножение и деление алгебраических дробей

§28. Совместные действия над алгебраическими дробями

Глава 7. Системы двух уравнений с двумя неизвестными

§33. Уравнения первой степени с двумя неизвестными. Системы уравнений

§34. Способ подстановки

§35. Способ сложения

§36. Графический способ решения систем уравнений

§37. Решение задач с помощью систем уравнений

Решебник

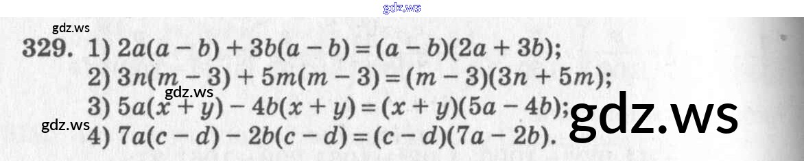
глава 4 / §19 / 329

Готовый и полный ответ к §19. Вынесение общего множителя за скобки Глава 4. Разложение многочленов на множители - Алгебре 7 класс Алимов Учебник ФГОС