Готовые домашние задания

Готовый ответ ПР-65 Проверочные работы - Алгебре 7 класс Евстафьева Дидактические материалы   ФГОС

Готовый ответ ПР-65 Проверочные работы - Алгебре 7 класс Евстафьева Дидактические материалы ФГОС

Номера упражнений:

Проверочные работы

Решебник

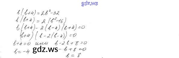
проверочная работа / пр-65 / вариант 2

Готовый и полный ответ к ПР-65 Проверочные работы - Алгебре 7 класс Евстафьева Дидактические материалы ФГОС