Готовые домашние задания

Готовый ответ КР-7. Варианты Контрольные работы - Алгебре 8 класс Александрова Контрольные работы Базовый уровень УМК ФГОС

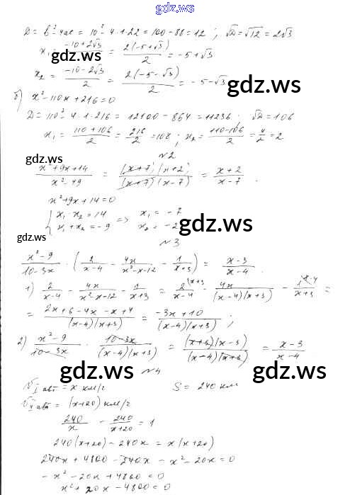
Готовый ответ КР-7. Варианты Контрольные работы - Алгебре 8 класс Александрова Контрольные работы Базовый уровень УМК ФГОС

Номера упражнений:

Контрольные работы

КР-1. Варианты

КР-2. Варианты

КР-3. Варианты

КР-4. Варианты

КР-5. Варианты

КР-6. Варианты

КР-7. Варианты

КР-8. Варианты

Итоговые контрольные работы. Варианты

Решебник

контрольная работа / кр-7. вариант / 1

Готовый и полный ответ к КР-7. Варианты Контрольные работы - Алгебре 8 класс Александрова Контрольные работы Базовый уровень УМК ФГОС