Готовые домашние задания

Готовый ответ Контрольная работа 3. Квадратные уравнения (Вариант)  - Алгебре 8 класс Карачинский Самостоятельные и контрольные работы

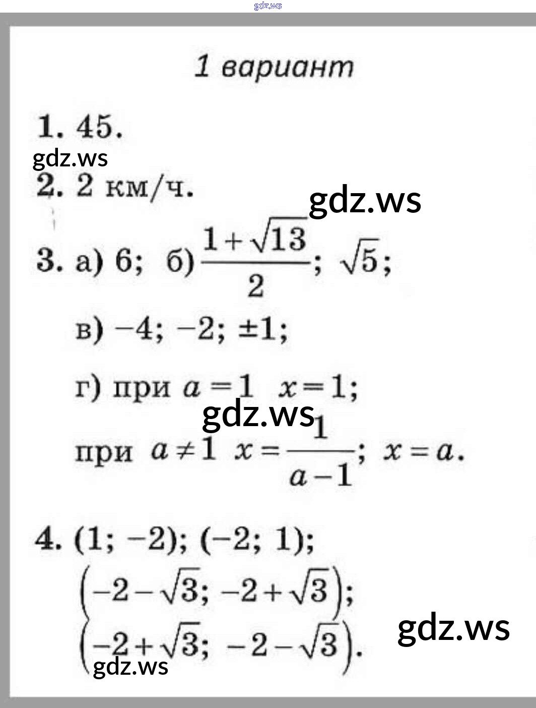
Готовый ответ Контрольная работа 3. Квадратные уравнения (Вариант) - Алгебре 8 класс Карачинский Самостоятельные и контрольные работы

Номера упражнений:

Контрольная работа 1. Неравенства. Модуль (Вариант)

Контрольная работа 2. Квадратные корни (Вариант)

Контрольная работа 3. Квадратные уравнения (Вариант)

Контрольная работа 4. Функции (Вариант)

Контрольная работа 5. Итоговая контрольная работа (Вариант)

Решебник

контрольная работа 3. квадратные уравнения (вариант) / 1

Готовый и полный ответ к Контрольная работа 3. Квадратные уравнения (Вариант) - Алгебре 8 класс Карачинский Самостоятельные и контрольные работы