Готовый ответ §8. Сложение и вычитание рациональных дробей с разными знаменателями Глава 2. Рациональные выражения - Алгебре 8 класс Мерзляк Учебник Углубленный уровень Алгоритм успеха ФГОС
Номера упражнений:
Глава 1. Множества и операции над ними
§1. Множество
§3. Формула включения-исключения
Глава 2. Рациональные выражения
§6. Основное свойство рациональной дроби
§7. Сложение и вычитание рациональных дробей с одинаковыми знаменателями
§8. Сложение и вычитание рациональных дробей с разными знаменателями
§9. Умножение и деление рациональных дробей
§10. Тождественные преобразования рациональных выражений
§13. Степень с целым отрицательным показателем
§14. Свойства степени с целым показателем
Глава 3. Основы теории делимости
§16. Делимость нацело и ее свойства
§17. деление с остатком
§18. Наибольший общий делитель и наименьшее общее кратное двух натуральных чисел
§19. Признаки делимости
Глава 4. Неравенства
§21. Числовые неравенства и их свойства
§22. Сложение и умножение числовых неравенств
§23. Неравенства с одной переменной
§24. Системы и совокупности линейных неравенств с одной переменной
Глава 5. Квадратные корни. Действительные числа
§27. Квадратные корни
§28. Множество действительных чисел
§29. Свойства арифметического квадратного корня
§30. Тождественные преобразования выражений, содержащих арифметические квадратные корни
Глава 6. Квадратные уравнения
§32. Квадратные уравнения
§33. Формула корней квадратного уравнения
§34. Теорема Виета
§35. Квадратный трехчлен
§36. Решение уравнений, сводящихся к квадратным уравнениям
§37. Решение уравнений методом замены переменной
§38. Рациональные уравнения как математические модели реальных ситуаций
Решебник
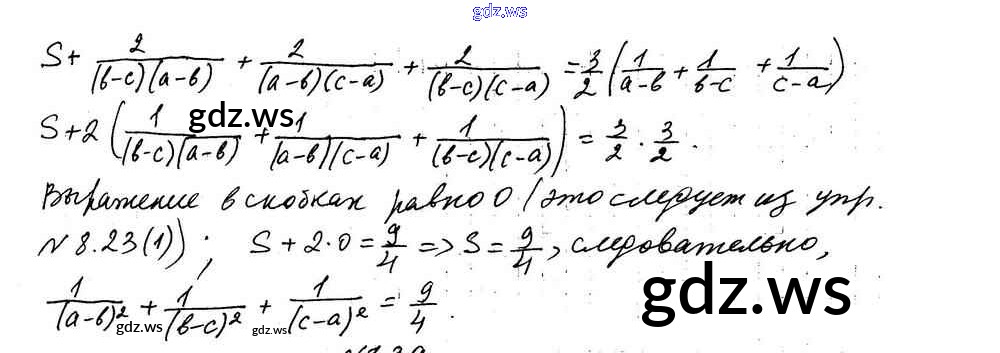
глава 2 / §8 / 38
Готовый и полный ответ к §8. Сложение и вычитание рациональных дробей с разными знаменателями Глава 2. Рациональные выражения - Алгебре 8 класс Мерзляк Учебник Углубленный уровень Алгоритм успеха ФГОС