Готовые домашние задания

Готовый ответ §18. Преобразование выражений, содержащих квадратные корни  - Алгебре 8 класс Миндюк Рабочая тетрадь  УМК ФГОС

Готовый ответ §18. Преобразование выражений, содержащих квадратные корни - Алгебре 8 класс Миндюк Рабочая тетрадь УМК ФГОС

Номера упражнений:

§1. Рациональные выражения

§2. Основное свойство дроби. Сокращение дробей

§3. Сложение и вычитание дробей с одинаковыми знаменателями

§4. Сложение и вычитание дробей с разными знаменателями

§5. Умножение дробей. Возведение дроби в степень

§7. Преобразование рациональных выражений

§10. Иррациональные числа

§11. Арифметический квадратный корень

§13. Нахождение приближённых значений квадратного корня

§14. Функция y=√x и её график

§15. Квадратный корень из произведения и дроби

§16. Квадратный корень из степени

§17. Вынесение множителя за знак корня. Внесение множителя под знак корня

§18. Преобразование выражений, содержащих квадратные корни

§19. Неполные квадратные уравнения

§20. Формула корней квадратного уравнения

§21. Решение задач с помощью квадратных уравнений

§23. Решение дробных рациональных уравнений

§24. Решение задач с помощью рациональных уравнений

§26. Свойства числовых неравенств

§27. Сложение и умножение числовых неравенств

§28. Погрешность и точность приближения

§29. Пересечение и объединение множеств

§31. Решение неравенств с одной переменной

§32. Решение систем неравенств с одной переменной

§33. Определение степени с целым отрицательным показателем

§34. Свойства степени с целым показателем

§35. Стандартный вид числа

§36. Сбор и группировка статистических данных

§37. Наглядное представление статистической информации

Решебник №1

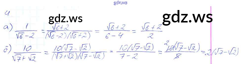
§18 / 4

Решебник №2

§18 / 4

Готовый и полный ответ к §18. Преобразование выражений, содержащих квадратные корни - Алгебре 8 класс Миндюк Рабочая тетрадь УМК ФГОС