Готовые домашние задания

Готовый ответ КР №2 Контрольные работы - Алгебре 9 класс Потапов Дидактические материалы  МГУ - школе ФГОС

Готовый ответ КР №2 Контрольные работы - Алгебре 9 класс Потапов Дидактические материалы МГУ - школе ФГОС

Номера упражнений:

Решебник

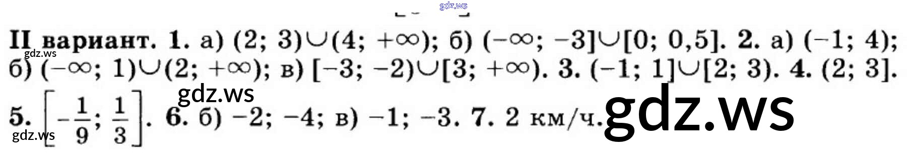
контрольная работа / кр №2 / вариант 2

Готовый и полный ответ к КР №2 Контрольные работы - Алгебре 9 класс Потапов Дидактические материалы МГУ - школе ФГОС