Готовые домашние задания

Готовый ответ Глава 1  - Химии 11 класс Хомченко Сборник задач и упражнений   ФГОС

Готовый ответ Глава 1 - Химии 11 класс Хомченко Сборник задач и упражнений ФГОС

Номера упражнений:

Решебник

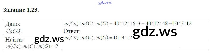
глава 1 / 23

Готовый и полный ответ к Глава 1 - Химии 11 класс Хомченко Сборник задач и упражнений ФГОС