Готовые домашние задания

Готовый ответ Уровень 3 (Варианты) Контрольная работа 4 - Геометрии 10 класс Крупина Поурочные разработки Базовый и профильный уровни

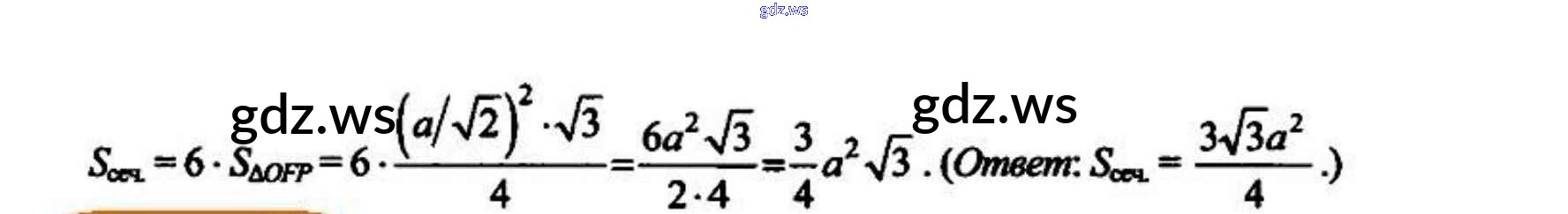
Готовый ответ Уровень 3 (Варианты) Контрольная работа 4 - Геометрии 10 класс Крупина Поурочные разработки Базовый и профильный уровни

Номера упражнений:

Контрольная работа 1

Уровень 1 (Варианты)

Уровень 2 (Варианты)

Уровень 3 (Варианты)

Контрольная работа 2

Уровень 1 (Варианты)

Уровень 2 (Варианты)

Уровень 3 (Варианты)

Контрольная работа 3

Уровень 1 (Варианты)

Уровень 2 (Варианты)

Контрольная работа 4

Уровень 1 (Варианты)

Уровень 2 (Варианты)

Уровень 3 (Варианты)

Контрольная работа 5

Уровень 1 (Варианты)

Уровень 2 (Варианты)

Уровень 3 (Варианты)

Контрольная работа 6

Уровень 1 (Варианты)

Уровень 2 (Варианты)

Уровень 3 (Варианты)

Решебник

контрольная работа 4 / уровень 3 (вариант) / 1

Готовый и полный ответ к Уровень 3 (Варианты) Контрольная работа 4 - Геометрии 10 класс Крупина Поурочные разработки Базовый и профильный уровни