Готовый ответ §11. Теорема о трёх перпендикулярах - Геометрии 10 класс Мерзляк Учебник Базовый уровень Алгоритм успеха ФГОС
Номера упражнений:
§1. Основные понятия стереометрии. Аксиомы стереометрии
§2. Следствия из аксиом стереометрии
§3. Пространственные фигуры. Начальные представления о многогранниках
§4. Взаимное расположение двух прямых в пространстве
§5. Параллельность прямой и плоскости
§6. Параллельность плоскостей
§7. Преобразования фигур в пространстве
§8. Угол между прямыми в пространстве
§9. Перпендикулярность прямой и плоскости
§10. Перпендикуляр и наклонная
§11. Теорема о трёх перпендикулярах
§12. Угол между прямой и плоскостью
Решебник
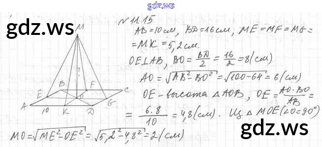
§11 / 11.15
Готовый и полный ответ к §11. Теорема о трёх перпендикулярах - Геометрии 10 класс Мерзляк Учебник Базовый уровень Алгоритм успеха ФГОС