Готовый ответ §3. Сложение и вычитание векторов - Геометрии 11 класс Мерзляк Учебник Базовый уровень Алгоритм успеха ФГОС
Номера упражнений:
§1. Декартовы координаты точки в пространстве
§2. Векторы в пространстве
§3. Сложение и вычитание векторов
§4. Умножение вектора на число. Гомотетия
§5. Скалярное произведение векторов
§6. Геометрическое место точек пространства
§7. Цилиндр
§8. Комбинации цилиндра и призмы
§9. Конус
§10. Усечённый конус
§11. Комбинации конуса и пирамиды
§12. Сфера и шар. Уравнение сферы
Решебник
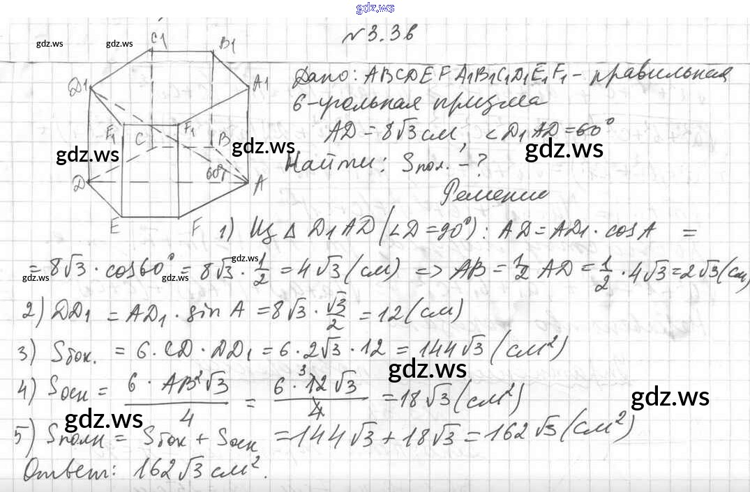
§3 / 3.36
Готовый и полный ответ к §3. Сложение и вычитание векторов - Геометрии 11 класс Мерзляк Учебник Базовый уровень Алгоритм успеха ФГОС