Готовый ответ § 8. Центральные и вписанные углы Глава 2. Вписанные и описанные четырехугольники - Геометрии 8 класс Мерзляк Учебник Углубленный уровень Алгоритм успеха ФГОС
Номера упражнений:
Глава 1. Многоугольники. Четырехугольники
§ 1. Многоугольники и его элементы
§ 2. Параллелограмм и его свойства
§ 6. Средняя линия треугольника
Глава 2. Вписанные и описанные четырехугольники
§ 8. Центральные и вписанные углы
§ 9. Применение свойств центральных и вписанных углов
§ 10. Вписанные четырехугольники
Глава 3. Подобие треугольников
§ 15. Первый признак подобия треугольников
Глава 4. Решение прямоугольных треугольников
§ 19. Метрические соотношения в прямоугольном треугольнике
§ 20. Теорема Пифагора
§ 21. Тригонометрические функции острого угла прямоугольного треугольника
Глава 5. Площадь многоугольника
§ 25. Площадь треугольника
Решебник
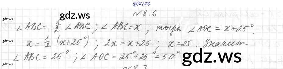
глава 2 / § 8 / 6
Готовый и полный ответ к § 8. Центральные и вписанные углы Глава 2. Вписанные и описанные четырехугольники - Геометрии 8 класс Мерзляк Учебник Углубленный уровень Алгоритм успеха ФГОС