Готовый ответ §1 Глава 1. Решение треугольников - Геометрии 9 класс Мерзляк Учебник Углубленный уровень ФГОС
Номера упражнений:
Глава 1. Решение треугольников
§1
§2
§3
Глава 2. Правильные многоугольники
§6
Глава 3. Декартовы координаты на плоскости
§8
§9
§10
§11
Глава 4. Векторы
§13
§14
§15
§16
Глава 5. Преобразования фигур
§19
§20
§21
§22
Решебник
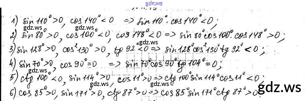
глава 1 / §1 / 1.15
Готовый и полный ответ к §1 Глава 1. Решение треугольников - Геометрии 9 класс Мерзляк Учебник Углубленный уровень ФГОС