Готовые домашние задания

Готовый ответ §17. Оператор присваивания, ввод и вывод данных  - Информатике 10 класс Семакин Учебник Базовый уровень  ФГОС

Готовый ответ §17. Оператор присваивания, ввод и вывод данных - Информатике 10 класс Семакин Учебник Базовый уровень ФГОС

Номера упражнений:

§1. Понятие информации

§2. Представление информации, языки, кодирование

§3. Измерение информации. Алфавитный подход

§4. Измерение информации. Содержательный подход

§5. Представление чисел в компьютере

§6. Представление текста, изображения и звука

§7. Хранение информации

§8. Передача информации

§9. Обработка информации и алгоритмы

§10. Автоматическая обработка информации

§11. Информационные процессы в компьютере

§12. Алгоритмы и величины

§13. Структура алгоритмов

§14. Паскаль — язык структурного программирования

§15. Элементы языка Паскаль и типы данных

§16. Операции, функции, выражения

§17. Оператор присваивания, ввод и вывод данных

§18. Логические величины, операции, выражения

§19. Программирование ветвлений

§20. Пример поэтапной разработки программы решения задачи

§21. Программирование циклов

§22. Вложенные и итерационные циклы

§23. Вспомогательные алгоритмы и подпрограммы

§24. Массивы

§25. Организация ввода и вывода данных с использованием файлов

§26. Типовые задачи обработки массивов

§27. Символьный тип данных

§28. Строки символов

§29. Комбинированный тип данных

Практикум

Практические работы к главе 1 «Информация»

Работа 1.1. Шифрование данных

Работа 1.2. Измерение информации

Работа 1.3. Представление чисел

Работа 1.4. Представление текстов. Сжатие текстов

Работа 1.5. Представление изображения и звука

Практические работы к главе 2 «Информационные процессы»

Работа 2.1. Управление алгоритмическим исполнителем

Работа 2.2. Автоматическая обработка данных

Работа 2.3. Проектное задание. Выбор конфигурации компьютера

Практические работы к главе 3 «Программирование обработки информации»

Работа 3.1. Программирование линейных алгоритмов

Работа 3.2. Программирование логических выражений

Работа 3.4. Программирование циклических алгоритмов

Работа 3.5. Программирование с использованием подпрограмм

Работа 3.6. Программирование обработки одномерных массивов

Работа 3.8. Программирование обработки строк символов

Работа 3.9. Программирование обработки записей

Решебник

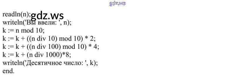
§17 / 7

Готовый и полный ответ к §17. Оператор присваивания, ввод и вывод данных - Информатике 10 класс Семакин Учебник Базовый уровень ФГОС