Готовые домашние задания

Готовый ответ Страница 76-77 Часть 1 - Математике 3 класс Башмаков Учебник  Планета знаний ФГОС

Готовый ответ Страница 76-77 Часть 1 - Математике 3 класс Башмаков Учебник Планета знаний ФГОС

Номера упражнений:

Часть 1

Страница 10-11

Страница 12-13

Страница 14-15

Страница 16-17

Страница 22

Страница 26-27

Страница 28-29

Страница 34-35

Страница 36-37

Страница 38-39

Страница 44-45

Страница 50-51

Страница 54-55

Страница 56-57

Страница 59

Страница 68-69

Страница 70-71

Страница 76-77

Страница 78-79

Страница 84-85

Страница 86-87

Страница 94-95

Страница 96-97

Страница 100-101

Страница 102-103

Страница 104-105

Страница 106-107

Страница 108-109

Страница 110-111

Страница 112-113

Часть 2

Страница 8-9

Страница 10-11

Страница 12-13

Страница 14-15

Страница 20-21

Страница 22-23

Страница 24-25

Страница 26-27

Страница 30-31

Страница 32-33

Страница 34-35

Страница 36-37

Страница 38-39

Страница 41

Страница 46-47

Страница 50-51

Страница 52-53

Страница 72-73

Страница 76-77

Страница 80-81

Страница 88-89

Страница 90-91

Страница 92-93

Страница 102-103

Страница 104-105

Страница 106-107

Страница 110-111

Страница 114-115

Страница 122-123

Страница 124-125

Страница 126-127

Страница 128-129

Решебник

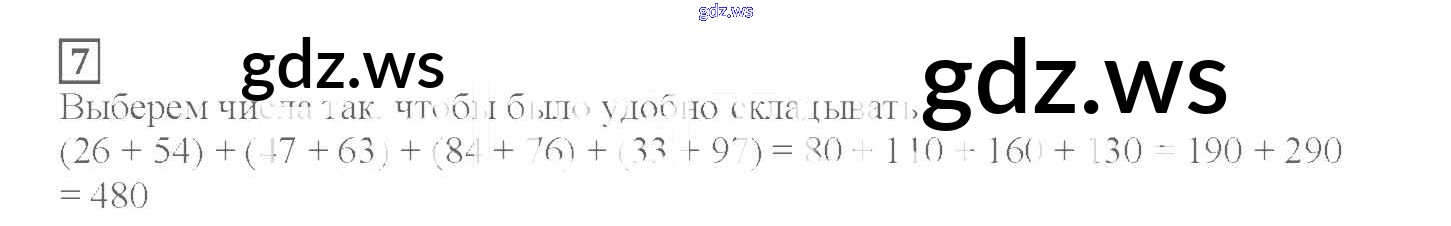
часть 1 / страница 76-77 / 7

Готовый и полный ответ к Страница 76-77 Часть 1 - Математике 3 класс Башмаков Учебник Планета знаний ФГОС