Готовые домашние задания

Готовый ответ Часть 2. Страницы  - Математике 4 класс Башмаков Рабочая тетрадь  Планета знаний ФГОС

Готовый ответ Часть 2. Страницы - Математике 4 класс Башмаков Рабочая тетрадь Планета знаний ФГОС

Номера упражнений:

Решебник

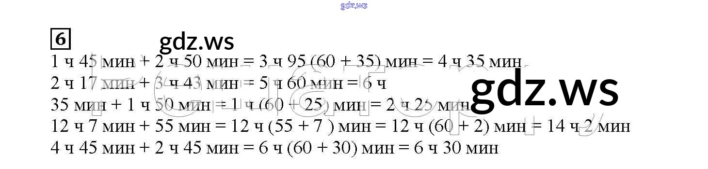
часть 2. страница / 47

Готовый и полный ответ к Часть 2. Страницы - Математике 4 класс Башмаков Рабочая тетрадь Планета знаний ФГОС