Готовый ответ §58 Глава 10. Интеграл - Алгебре 11 класс Шабунин Дидактические материалы Базовый уровень ФГОС
Номера упражнений:
Глава 7. Тригонометрические функции
Глава 8. Производная и её геометрический смысл
Глава 9. Применение производной к исследованию функций
Глава 10. Интеграл
Глава 11. Комбинаторика
Глава 12. Элементы теории вероятностей
Решебник
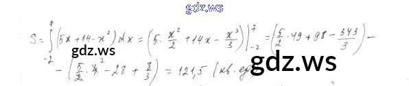
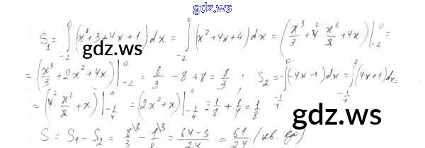
глава 10 / §58 / вариант-2
Готовый и полный ответ к §58 Глава 10. Интеграл - Алгебре 11 класс Шабунин Дидактические материалы Базовый уровень ФГОС