Готовые домашние задания

Готовый ответ Контрольная работа 5 Глава 11. Комбинаторика - Алгебре 11 класс Шабунин Дидактические материалы Базовый уровень  ФГОС

Готовый ответ Контрольная работа 5 Глава 11. Комбинаторика - Алгебре 11 класс Шабунин Дидактические материалы Базовый уровень ФГОС

Номера упражнений:

Глава 9. Применение производной к исследованию функций

Контрольная работа 3

Решебник

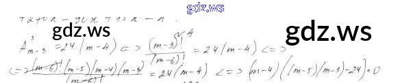
глава 11 / контрольная работа 5 / вариант-2

Готовый и полный ответ к Контрольная работа 5 Глава 11. Комбинаторика - Алгебре 11 класс Шабунин Дидактические материалы Базовый уровень ФГОС