Готовые домашние задания

Готовый ответ §41 Глава 7. Тригонометрические функции - Алгебре 11 класс Шабунин Дидактические материалы Базовый уровень  ФГОС

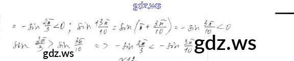
Готовый ответ §41 Глава 7. Тригонометрические функции - Алгебре 11 класс Шабунин Дидактические материалы Базовый уровень ФГОС

Номера упражнений:

Глава 9. Применение производной к исследованию функций

Контрольная работа 3

Решебник

глава 7 / §41 / вариант-2

Готовый и полный ответ к §41 Глава 7. Тригонометрические функции - Алгебре 11 класс Шабунин Дидактические материалы Базовый уровень ФГОС